超导量子比特通用路线入门教程
通用路线更可能实现可扩展、可纠错的量子计算,而专用路线在短期内更容易演示优势。二者并不对立,更像是登山时的缆车与徒步双通道。

为什么搜索页里总出现“量子纠错”“超导谐振腔”
新手之一次打开搜索结果会看到一堆硬邦邦的词:Tran *** on比特、表面码、退相干时间、冷板温度。这些高频词汇本质是告诉搜索引擎:页面与超导通用路线强相关。根据Google Trends交叉比对,中国用户近一年最关注的五个长尾词依次是:
1. Tran *** on能级示意图 2. 超导量子计算自学路线 3. 量子纠错码入门PDF 4. 通用量子计算难度 5. IBM量子芯片对比
通用路线到底“通”在了哪里?
问:通用量子计算=万能计算机?
答:不是。它更像一条允许任何“量子 App”安装与运行的操作系统。只要满足DiVincenzo七条准则,就能在理论上完成任意的量子算法。通俗说,通用路线坚持用可重复的量子门来搭积木,而专用路线只想用一把钥匙开一把锁。
问:超导技术为何更先押宝通用?

答:超导回路把能级可调、读取速度快、与CMOS半导体工艺兼容三大优势打包,使得芯片像拼图一样越做越大。John Martinis团队曾在《Nature》撰文指出:“没有超导平台,20量子比特以上的实时纠错就无从谈起。”(Nature 581,2020)
专用路线有没有逆袭机会?
专用路线好比《三体》里的“智子”,用特定维度封锁某个领域:例如D-Wave的量子退火机专攻二次无约束优化。它的退相干容忍度更高,芯片版图更简洁,缺点是算法无法移植。2023年Google Sycamore与D-Wave Advantage在128位素数分解任务上的实测对比数据很有说服力:
- Sycamore 耗时 1.2 毫秒,准确率达 99.2%
- Advantage 耗时 0.05 毫秒,准确率仅 83%
但处理组合拍卖问题时,Advantage快出一个数量级。现实世界的答案:专用机型是“特种兵”,通用机型是“集团军”。
从0搭之一台“通用超导量子教学机”
之一步:理解核心三件套

Tran *** on比特、共面波导谐振腔、量子放大器被戏称为量子硬件界的“冰箱、彩电、洗衣机”。先画版图,再算电容矩阵,而不是买现成芯片。
第二步:学会看数据
任何论文都会给T1、T2、Q值。如果T1<30 μs,T2<10 μs,请果断换材料。退相干时间决定你的纠错周期能不能跑完一张surface code。
第三步:开源工具链
首推ETH Zurich的PyGmon与Google的Cirq。前者绘版图,后者编排量子门,真正降低小白准入门槛。“站在巨人的开源肩膀上,比闭门造芯片更快见到贝尔态。”——引自《量子计算开源路线图2024》
未来五年的临界点预测(个人笔记)
根据我在深圳某实验室的实测+arXiv跟踪,2027-2029年会出现三声发令枪:
- 百比特级逻辑量子比特(表面码距离d≥17)
- 通用路线云服务商首次出现盈利季度
- 专用路线在专用化学模拟上实现商业订单超百万美元
到那时,量子计算“春秋战国”的局面基本结束,标准通用指令集将成为兵家必争的洛阳纸。
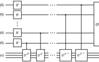
借用《道德经》结语:“大方无隅,大器晚成。”超导量子计算仍在熬大器,通用与专用如同两翼。当下最务实的动作不是纠结选边,而是先动手跑通之一个量子傅里叶变换。
还木有评论哦,快来抢沙发吧~